Overview of data sources and processing of secondary indicators
Methodologies for wind energy and photovoltaic energy yield indicators.
This section presents the methodologies used to compute so-called secondary indicators. These indicators are derived from one or more bias-corrected projection time series.
Methodology for wind energy yields
Wind yield model
The wind yield model used in this project is based on two key elements: the wind turbine power curve and equivalent wind speed.
Wind turbine power curve
The wind turbine power curve explains how a turbine responds to varying wind speeds. The power curve is specific to each wind turbine model. Its description in tabular form (or choice among predefined models) will be one of the main inputs of the tool.

The power curve allows to evaluate the energy production from wind speed with the following formula:
With:
- : energy production (MWh)
- : power as a function of wind speed (MW)
- : average wind speed over time step (m.s⁻¹)
- : wind sample time step (hours)
Equivalent wind speed
Wind turbines generate power based on the kinetic energy of the wind. Kinetic energy of the wind depends on wind speed but also on air density, which is affected by temperature: as temperature increases, air density decreases, and vice versa.
Equivalent wind speed is used to provide a more accurate representation of the effective wind speed for power generation by considering the impact of temperature on air density. Equivalent wind speed is calculated as:
With:
- : equivalent wind speed (actual wind speed adjusted to account for the effect of temperature on air density) over time step
- : average air temperature over time step (K)
- : reference temperature (288.15K)
- : average wind speed over time step (m.s⁻¹)
Therefore, the complete model can be written as:
With:
- : energy production (MWh)
- : power as a function of wind speed (MW)
- : wind sample time step (hours)
- : average air temperature over time step (K)
- : reference temperature (288.15K)
- : average wind speed over time step (m.s⁻¹)
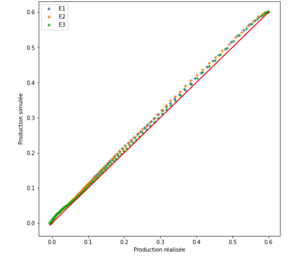
Model validation
To assess the reliability and accuracy of this wind yield model, validation against real-world data was conducted. Real data are based on wind, temperature and production measured from three turbines in the same farm during two years.
The modelized production was calculated from actual wind speed and temperature using the model described above. It was then compared to actual production corrected to account for down times.

The comparison between the model-predicted production and actual data reveals a mean absolute error (MAE) between 5% and 7% and a coefficient of determination (r²) above 0.99.
| Turbine | MAE | r² |
|---|---|---|
| E1 | 5.8% | 0.994 |
| E2 | 7.0% | 0.991 |
| E3 | 5.3% | 0.995 |
The MAE gauges the average magnitude of the discrepancies between the predicted and observed values, indicating a good level of precision in wind yield estimations. The coefficient of determination indicates very high correlation between predicted and actual outcomes.
A more detailed examination of errors reveals that the bias is on average positive, meaning that the model tends to slightly overestimate the production. Notably, this bias remains consistent and is not influenced by temperature variations, wind speed fluctuations, or production quantiles. This stability in bias suggests that the model maintains its accuracy across diverse environmental conditions and energy production levels.

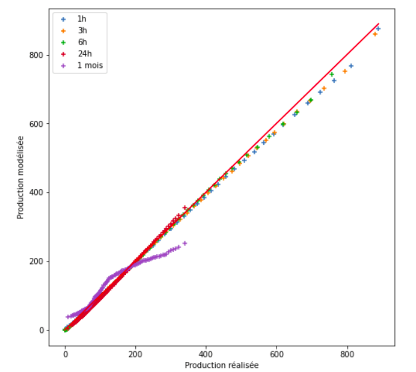
Assessment of model sensitivity to temporal resolution
The previous evaluation was performed using data with a 10-minute time step. However, real-world climate data usually have coarser temporal resolutions, such as hourly, daily or monthly averages. In particular, climate projections are not available with a granularity below 3-hours, as a result it is important to investigate the sensitivity of the wind yield model to different time steps.
To achieve this, we resampled the original fine-grained wind and temperature data at different time steps: 1, 3, 6, and 24 hours, as well as monthly averages, mirroring the temporal resolutions encountered in actual climate reanalysis and climate projections. Then we calculated the modelized production from those upscaled data and compared it to actual production.
| Method | E1 | E2 | E3 |
|---|---|---|---|
| Actual production | 30625.6 | 28494.3 | 29740.7 |
| Modelized (original data, step = 10 min) | 32198.4 | 30127.5 | 30662.9 |
| Modelized (upsampled, step = 1h) | 32099.7 | 29980.0 | 30541.4 |
| Modelized (upsampled, step = 3h) | 31919.7 | 29767.3 | 30349.9 |
| Modelized (upsampled, step = 6h) | 31721.4 | 29555.0 | 30147.4 |
| Modelized (upsampled, daily) | 31049.2 | 28765.3 | 29448.9 |
| Modelized (upsampled, monthly) | 26980.1 | 24393.4 | 25380.8 |
Notably, larger time steps did not result in a discernible degradation of the model's accuracy in assessing average production. This result suggests that the wind yield model maintains its reliability even when exposed to coarser temporal resolutions, making it adaptable to a range of data scenarios.
However, when confronted with monthly average data, high biases were observed for both upper and lower production quantiles. As a result, the model may struggle to generalize effectively with such a low temporal resolution and using monthly data might lead to inaccuracies in capturing extreme production values.

In contrast, the model showed no or limited degradation in quantile-quantile dispersion with intermediate time steps (1, 3, 6, and 24 hours). This suggests that the wind yield model can accommodate these time intervals without compromising its predictive accuracy.
Wind height correction
In both reanalysis and climate projections, the wind speed is given at 10 meters. Wind turbines are much higher, usually between 60 and 120 meters, and as a result exposed to stronger winds. A conversion is therefore performed using a logarithmic wind profile:
Where:
- is the turbine height,
- and is the wind speed at 10 meters and at the turbine height respectively,
- is the roughness length.
The roughness length is a measure of the height and density of obstacles on the ground. The higher it is, the faster wind speed decreases in proximity of the surface.
The following table gives the order of magnitude of the roughness length for different types of environments:
| Terrain type | Typical roughness length (m) |
|---|---|
| Very flat terrain (snow, desert) | 0.001 – 0.005 |
| Open terrain (grassland, few trees) | 0.01 – 0.05 |
| Suburban terrain (buildings 3–5 m) | 0.1 – 0.5 |
| Dense urban (buildings 10–30 m) | 1 – 5 |
In the cases considered here, the ground is likely to be open, so the roughness length should be between 0.01 and 0.05 meters. The value initially chosen is 0.01, but this can be adjusted.
Processing
Wind power production is computed from bias-corrected projections of daily wind speed (sfcWind) and daily air temperature (tas). The R2D2 method is employed to restore inter-variable consistency in these climate projections, which have previously been bias-corrected using the CDF-t approach.
Methodology for PV energy yields
Photovoltaic technologies
The most widely used photovoltaic technologies include crystalline silicon cells (cSi), cadmium telluride (CdTe) photovoltaics, and copper indium gallium selenide (CIS) solar cells.
The PV yield model introduced below enables the consideration of these different photovoltaic technologies.
PV yield model
The solar PV yield model used in this project is the Huld model. This model evaluates the production from temperature and irradiance as:
Where:
- is the normalized irradiance:
- is the normalized surface temperature of the modules:
With:
- : the air temperature (K)
- : the irradiance (W.m⁻²)
- : the installation peak power (MWpeak)
- : the reference irradiance (1000 W.m⁻²)
- : the wind speed (m.s⁻¹)
- , : coefficients for the cSi, CdTe and CIS modules:
| Technology | (W/(°C·m²)) | (W·s/(°C·m³)) |
|---|---|---|
| cSi | 26.91 | 6.20 |
| CdTe | 23.37 | 5.44 |
| CIS | 22.64 | 3.60 |
- , , , , , : the parameters of the model (module type-dependent):
| cSi (Original) | cSi (Updated 2025) | CdTe (Original) | CdTe (Updated 2025) | CIS (Original) | CIS (Updated 2025) | |
|---|---|---|---|---|---|---|
| k1 | −0.017237 | −0.006756 | −0.046689 | −0.020644 | −0.005554 | −0.011001 |
| k2 | −0.040465 | −0.016444 | −0.072844 | −0.035136 | −0.038724 | −0.029734 |
| k3 | −0.004702 | −0.003015 | −0.002262 | −0.003406 | −0.003723 | −0.002887 |
| k4 | 0.000149 | −0.000045 | 0.000276 | 0.000073 | −0.000905 | 0.000217 |
| k5 | 0.000170 | −0.000043 | 0.000159 | −0.000141 | −0.001256 | −0.000163 |
| k6 | 0.000005 | 0.000000 | −0.000006 | 0.000002 | 0.000001 | 0.000000 |
k parameters (or the selection between a set of predefined parameters) will be one of the inputs of the tool.
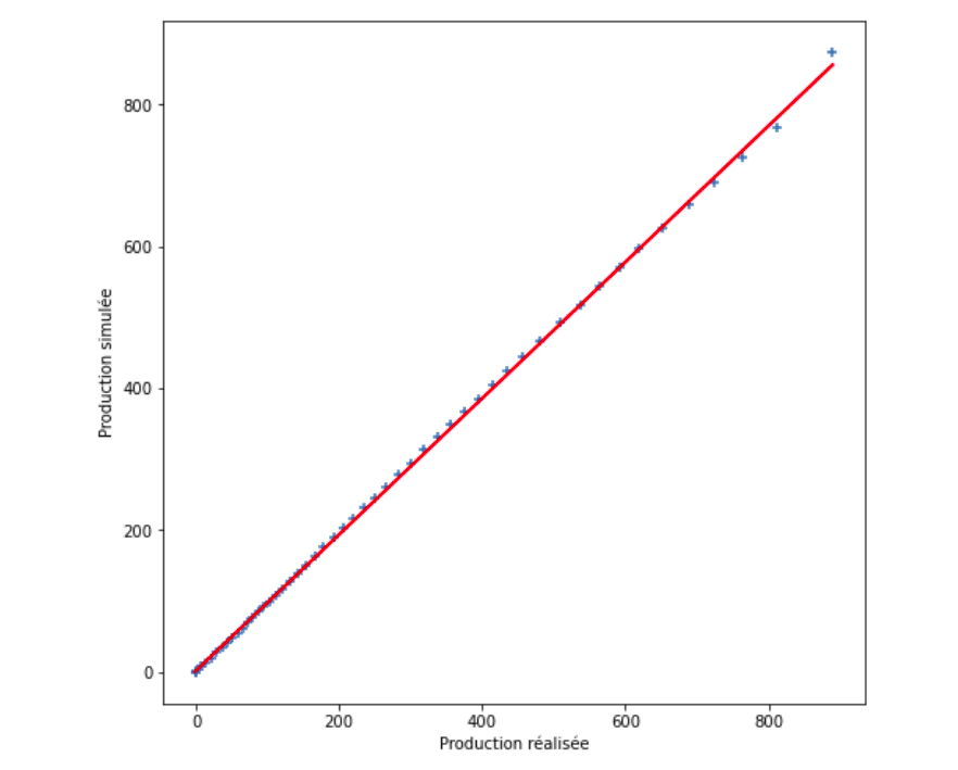
Model validation
To assess the reliability and accuracy of our PV yield model, validation against real-world data was conducted.
Real data are based on irradiance, temperature and production measured from a solar farm between 1994 and 2022. The modelized production was calculated from actual irradiance and temperature using the model described above. It was then compared to real-world production corrected to account for downtimes and modules orientation.
The comparison between the model-predicted production and actual data reveals a mean absolute error (MAE) of approximately 4% and a coefficient of determination (r²) above 0.995.
| Period | MAE | r² |
|---|---|---|
| 1994–2003 | 3.8% | 0.998 |
| 2004–2013 | 3.8% | 0.998 |
| 2014–2022 | 3.9% | 0.998 |
The MAE gauges the average magnitude of the discrepancies between the predicted and observed values, indicating a very good level of precision in yield estimations. The coefficient of determination indicates near-perfect correlation between predicted and actual outcomes.
A more detailed examination of errors reveals that the bias is on average slightly negative, meaning that the model tends to underestimate the production.
Notably, this bias remains consistent and is not influenced by irradiance, temperature or production quantiles. This stability in bias suggests that the model can generalize properly as it maintains its accuracy across diverse environmental conditions and energy production levels.

Assessment of model sensitivity to temporal resolution
The model validation was performed using data with a 1-hour time step. Real-world climate data often exists at coarser temporal resolutions. Climate projections are not available with a granularity below 3-hours, as a result it is important to investigate the sensitivity of the PV yield model to different time steps.
To achieve this, we resampled the original irradiance and temperature data at different time steps: 3, 6, and 24 hours, as well as monthly averages, mirroring the temporal resolutions encountered in actual climate projections. Then we calculated the modelized production from those upscaled data and compared it to actual production.
| Method | Production |
|---|---|
| Actual production | 35781.5 |
| Modelized (original data, step = 1h) | 34772.0 |
| Modelized (upsampled, step = 3h) | 34740.9 |
| Modelized (upsampled, step = 6h) | 34931.1 |
| Modelized (upsampled, daily) | 34612.6 |
| Modelized (upsampled, monthly) | 34642.3 |
Larger time steps did not result in a degradation of the model's accuracy for average production. This suggests that the PV yield model maintains its reliability even when exposed to coarser temporal resolutions, making it adaptable to a range of data scenarios.

However, when confronted with monthly averaged data, high discrepancies were observed in the quantiles' distribution, especially for upper production quantiles. As a result, monthly climate data might lead to inaccuracies in capturing PV yield especially during high-production periods.
In contrast, the model showed no significant degradation in results with intermediate time steps (3, 6, and 24 hours). This suggests that the solar yield model can accommodate these time intervals without compromising its predictive accuracy.
Processing
Solar power production is computed from bias-corrected projections of daily solar irradiance (rsds), daily air temperature (tas) and daily windspeed (sfcWind). The R2D2 method is employed to restore inter-variable consistency in these climate projections, which have previously been bias-corrected using the CDF-t approach.